I hope you all enjoyed the Easter break. This week, we have begun to work on using action in a story. The children will be learning the new model text on Friday and we will focus on this over the next 4 weeks. In Science, we have been learning about sources of light and will be exploring how light can be reflected off different surfaces and how it travels. In History, we learned about the Anglo-Saxons and where these invaders came from. We also looked at why they came and when the Anglo-Saxon era ended.
In Maths, we have been working with hundredths, have added using column addition and rounded hundredths to the nearest tenth and whole number. If your child needed support, you will be told this in Friday's diary comment. Our focus Times Table is the 7 x table. Please encourage your child to continue to practise daily at home. Thank you.
Have a lovely weekend when it comes.
Mrs. Watts
Wednesday 25th March 2026
It is proving to be a lovely end to the term. Last night's performance of 'Defrosted' was fantastic and I am sure that it will be equally fantastic tonight. I was so proud of all the children for delivering such an amazing performance and I am sure you will all feel the same. As well as this, they finished the unit of reading based on 'Krindlekrax', where they showed a good understanding of how the author influences our opinion of a character. Last week, the children completed their spelling test for the Sticky Words. I have listed those which your child spelled incorrectly and still need to work on and these will be sent home on Friday. Please encourage your children to continue to read over the Easter break and to practise their times tables. We will be working on the 7 X table when we return after Easter.
I hope you all have a lovely Easter break and that we get some sunshine!
Mrs. Watts
Wednesday 18th March 2026
It has been a busy few days in Oak Class. As well as the usual lessons, the children have completed some assessments in SPaG, Maths and Reading. I was very pleased with how hard the children tried, as there were lots of different areas to recall, particularly in Maths. If you would like to know how your child has done, please feel free to come and see me at our ‘At Home‘ session on Wednesdays (until 3.50 p.m.). Rehearsals have been a big focus this week and the children are looking forward to sharing our performances with you next Tuesday and Wednesday evenings. Please don’t forget to book your tickets.
The children need to be back at school for 6.30 p.m. on each evening please. The performances will start at 7.00 p.m.on both evenings. I look forward to seeing as many of you as possible,
Have a lovely weekend and let's hope that this lovely weather continues.
Mrs. Watts
Wednesday 11th March 2026
This week, we have been working on finding fractions of an amount. e.g. 2/3 of 15. The children are all picking this up well. We have been learning about the port of Felixstowe, so please don’t be surprised if you are asked to take your child along to see the container ships!
Our production, ‘Defrosted’ is fast approaching and there are still quite a few children who have not learned their lines or have not read the stage directions from the script. This is vital as it helps them to understand when to come on stage or what they should be doing.
Please could you help them to do this at home, as we have only 2 more rehearsals next week before we perform to the school.
If your child has not brought in their costume, could you please ensure that it is brought in on Monday.
Thank you for your support.
Mrs. Watts
Wednesday 4th March 2026
It has been a lovely start to the week in Oak Class. We had a great trip to the Roman Circus on Monday and the children seemed to thoroughly enjoy the visit. Their behaviour was fantastic and was commented on by the staff at the centre. It was great to see them all listening carefully and hunting for facts around the centre.
In Maths, we have been continuing to work on converting mixed numbers to improper fractions and vice versa and this can be very tricky to understand. The children have shown that they are beginning to understand, but this is not secure for many of them. If your child has found this particularly difficult, this will be made clear in the diary note on Friday.
See examples below so you can go over this with them if you wish.
We are continuing to revise the times tables and the next two weeks will focus on the 6 x table. If your child is in Year 4, it is particularly important that they practise daily, as there will be the National Times Table Check in the Summer Term. I appreciate your support with encouraging them to do this at home. Thank you.
Have a lovely weekend.
Mrs. Watts


Wednesday 25th February 2026
I hope you all had a good half term break. The children have worked very hard this week and have come back with their usual positive attitudes to learning. In English, we have begun to look at a newspaper article and will be working on this over this half-term. In Maths, we are continuing to work on fractions. This week, we have been comparing fractions with different denominators ( e.g. 2/3 and 2/6) and have added fractions with the same denominators (within 1 whole). The children have also shown they understand that the larger the denominator (more parts the whole has been split into), the smaller that fraction will be.
You will have received a note regarding the costume your child needs to bring in for our production ‘Defrosted’. Please let us know if you are having any difficulty with this and please DO NOT feel that you have to buy anything. I am sure that we can help, so please ask.
Have a lovely weekend and let's hope this warmer weather continues.
Mrs. Watts
Wednesday 11th February 2026
We have almost reached the end of this half-term and it is hard to believe that it means we are halfway through the school year!
Thank you for attending your Parents' Evening appointments this week. By the time you read this, I will have had the chance to talk to all of you and it is always great to be able to discuss your child's progress and for you to get to see their work. I am very proud of all the children in Oak Class for both the effort they put in and the progress they have made.
It has been another busy week. We have begun to work on fractions and will continue with this after the half-term break. The children have published their suspense stories and I am really pleased with how well these have been written.
The children enjoyed some P.S.H.E activities linked to the theme 'This is my Place ', for Children's Mental Health Week. A big “Thank You” goes to Mrs. Richardson and Miss Pender for helping us with these.
Have a lovely break and I hope we manage to get some dry weather.
Kind regards,
Mrs. Watts
Wednesday 4th February 2026
In Maths, we have continued to work on division and those which leave a remainder. The children find this tricky if the tens and ones cannot be partitioned as they are. For example: 46 divided by 3. 40 cannot be divided by three so we have to partition as 30 and 16.
30 divided by 3 = 10
16 divided by 3 = 5 r1
Children who are not confident with times tables (and need to use a times table square) will often say this as 15 r 1. If your child has needed support, this will be on the note in their homework diary, so please check. I have also sent home some examples so that you can practise this at home. Thank you for your support with this.
Example:
.
In English, we are finishing our stories which have a focus on suspense and we are beginning our History unit on the Romans. Please encourage your child to log on to Times Table Rockstars at least twice a week, as part of their daily practice. There are still children who have not done so since October last year. Difficulties with recalling facts have a significant impact on their ability to pick up new methods (including division) or to use the methods accurately.
Many thanks
Mrs. Watts
Thursday 29th January 2026
In Maths, we have begun to work on dividing a two-digit number by a one-digit number. We have learned to use the partitioning method. See examples below:
66 ÷ 3 =
We partition 66 into 60 and 6
60 ÷ 3 = 20
6 ÷ 3 = 2
20 + 2 = 22
So 66 ÷ 3 = 22
OR
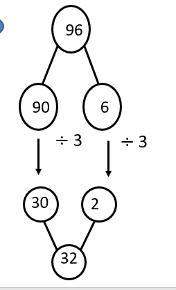
96 ÷ 3 =

If your child has found this difficult, you will receive a note saying this in their diary this week. Today, we introduced remainders. Many of the children found this difficult as it was our first lesson. Please do not worry if your child says they found this hard, as we will continue this next week.
Our focus times table is the 6 times table for the next 2 weeks. Thank you for encouraging your child to practise daily.
Kind regards,
Mrs. Watts
Wednesday 21st January 2026
In Maths, we have continued our work on multiplication. We have multiplied a 3 digit number by a 1 digit number (E.g. 245 x 5). We have looked at doing this using a place value grid, the expanded method and the compact method. I have included examples below, as these may be quite different to how you were taught multiplication. In D.T. lessons, we have now completed the making of our Iron Men. These look great and the children thoroughly enjoyed the making process. I have put these up on display, so feel free to come along to one of our 'At Home' sessions and have a look. These are on Wednesdays until 3.50 p.m.
Our focus times table is the 3 x table. Please support your child to practise these daily. There are still a number of children who rarely log on to Times Table Rockstars. Whilst there are lots of other ways to practise the tables, it is important to include Rockstars as part of their practice so that they get used to typing in the answers. Thank you for your support with this.
Kind regards,
Mrs. Watts
Examples:

H T O
2 1 4
X 2
4 2 8
Wednesday 14th January 2026
This week, the children worked with a partner to begin to make their Iron Man from their designs. They are doing really well with these. We will be incorporating the linkages and levers that we learned last week so that our Iron Men can move.
In Maths, we have been multiplying 2 and 3 digit numbers by 1 digit, using partitioning. We have begun to work with the expanded method. Some children have found this a little difficult and have needed some support. The difficulty has been with the layout and remembering that the 2 in 25 is actually 20. If your child found this tricky, they will bring home an example on Friday so that you can go over it together if you wish. They will have had further practice before that too, so they may be more confident by Friday.
See Example:

If your child is in Year 4, they have been set a times tables test on Time Table Rockstars. Mrs. Carter has asked that they all complete this as soon as possible. This will come up as requiring completion when they next log on. Thank you for your support with this.
We now have Squash lessons on a Thursday morning (and P.E. on a Wednesday, as before). Please could you make sure that earrings are removed before this if your child is unable to take them out by themselves. Thank you.
Mrs. Watts
Wednesday 7th January 2026
Happy New Year to you all. I hope you all had a lovely break.
It has been a very busy start to the Spring Term. We have begun our Science unit on Sound and Hearing. In D.T., we have begun to explore and make simple levers and linkages which we will incorporate into designs for moving Iron Men. We have introduced the children to our annual production, which will be called ‘Defrosted’. Children will be bringing home scripts this week (most were given them yesterday), so please encourage them to highlight their lines and to practise these. Some children may have a lot of lines, so it is important to begin to prepare early.
We are currently working on the 7 x table. Please encourage your child to practise regularly and to go onto Times Table Rockstars at least twice a week.
Have a lovely weekend.
Mrs. Watts
Wednesday 17th December 2025
It is almost the end of term and what a busy term it has been! Thank you to those of you who were able to come and see our carol concerts on Monday and Tuesday. I am sure that you will agree that the children were amazing and are as proud of them all as I am. If you ever need something to smile about, watch the video above where we sing about poor Mr. Hewitt getting run over by a reindeer!
Thank you to those of you who gave me cards or presents. It is incredibly kind and generous of you and very much appreciated.
Please encourage your children to continue to read and to practise the Times Tables over the holiday.
I hope you have a lovely break and enjoy some family time over the holidays.
See you all in January.
Mrs. Watts
Wednesday 10th December 2025
It has been a very busy week in Oak Class. The dress rehearsal was fantastic on Tuesday and I know that you will be very proud of all the children when you come to watch this next week. You will have been emailed ‘Final Arrangements’ for the evening performance on Monday. Please speak to any of the Year 3 and 4 teachers if you have any queries.
The children have all finished their sewn decorations and were given these on Monday. Please check book bags if you have not seen these yet. In Maths, we have been learning about lines, shapes, angles and turns. The children are all picking this up really well. In Reading, we have been working on using drama to show an understanding of the dramatic irony in the story we have focused on. This was great fun and the children did really well.
Have a lovely weekend.
Mrs. Watts
Wednesday 3rd December 2025
This week, we have been busy rehearsing for our upcoming Carol Concert and we are looking forward to sharing this with you. We have also been working on sewing our Christmas decorations. They look amazing and I have been really impressed by how well the majority of children have picked up the skill.
I have spoken to the class a lot over the last few weeks about the importance of practising the Times Tables at home. I have explained that they are welcome to practise these in a variety of ways, but that this does need to include them logging into Times Table Rockstars at least TWICE a week and practising for around 10 minutes each time they log on. There are some children who very rarely do this and some who have not been on at all this academic year. Learning the Tables is vital in supporting all aspects of Maths and we do appreciate you supporting and encouraging your child to practise. Thank you to those of you who do this regularly. If this is not something your child is currently doing, please could you reinforce the importance of this at home. Thank you.
Mrs. Watts
Wednesday 26th November 2025
It has been a very busy week so far. We will be planning and writing our Hot Tasks in English, where the focus has been creating characters. We are having a great day today, where we are celebrating the huge range of different languages spoken across our school. Oak Class were lucky enough to learn a little Mandarin, Punjabi, Mandarin, Ukranian and Gujurati. Well done to our young teachers: Harry, Talal, Karina, Tym and Coen. We also enjoyed listening to a story in Korean, which Jian read to us.
In Maths, we have been working on subtraction and will include those which require an exchange in tomorrow's lesson. See the examples below. Your children should be able to explain how to use the place value chart. They will bring home a completed example on Friday for you to see.

Have a lovely weekend,
Mrs. Watts
In Maths, we have been adding 3 and 4 digit numbers with one exchange. The children have been using column addition. They are all doing well with this, but if you want to practise at home, I have included an example below. If you give examples where they are adding 3 and 4 digit numbers, please remind your child to take care with their place value so that they put the digits in the correct columns.
703 + 2,580 = 3,508 + 2, 731 =

We have also completed some arithmetic, problem solving and reading assessments. If you would like to see how your child has done, please feel free to come and see me next Wednesday (26th Nov) for our ‘At Home’ session. This runs until 3.50pm.
We are revisiting the 4 and 8 times tables, so please continue to support your child at home.There are still a few children who do not have a long-sleeved top as part of their P.E. kit. Please could you check that your child has jogging bottoms or leggings and a warm sweatshirt-type top. They do still have a P.E. lesson outside and it is getting very chilly now.
Many thanks,
Mrs. Watts
Wednesday 12th November 2025
This week, the children have completed their POP task for the recent Science unit on ‘Teeth and the Skeleton’. This was their opportunity to show how much they had remembered from what had been taught during lessons. I was very impressed overall. Well done, Oak Class.
In Maths, we have been working on addition and subtraction of ones, tens or 100s. We are now moving on to addition calculations, which require an exchange. We do this by drawing place value counters initially and will work towards the formal methods later.
See example below so that you can support your child using the same method.

We will now be revisiting the 4 and 8 x tables. Please continue to encourage your child to practise the times tables each day.
Many thanks,
Mrs. Watts
Wednesday 5th November 2025
In Maths, we have been adding and subtracting ones which bridge 10. The children have used number lines to partition the ones so that they add ones to get to the next multiple of 10 and then count on the remaining ones.
See example:

If your child has found this tricky and has needed additional support, they will be given a sheet of examples to bring home on Friday so that you can support them at home if you wish.
We have also begun our next English unit which will be a story with a focus on character.
We are revisiting the 2, 4 and 8 times tables over the next couple of weeks.
Please make sure that all P.E. kits are in school by Monday and that all children have a long-sleeved, warm top as they do still have P.E. lessons outside.
Have a lovely weekend.
Mrs. Watts
Wednesday 22nd October
It is Half Term next week and the children are all ready for a well-earned break. Thank you to those of you who came in for an appointment with me last night or are booked in for an appointment on Thursday. It was a lovely opportunity to discuss how your child has settled in and to look at the progress they have made. The children have worked incredibly hard over the past seven weeks and I am sure you were impressed with their learning when you looked through their books.
In Maths, we have practised rounding the same 3 digit numbers to the nearest multiple of 10 and the nearest multiple of 100.
|
After the break, we will be revisiting the 2, 4 and 8 x tables, so please encourage your child to continue to practise their tables.
I hope you have a lovely week and that the weather is kind to us.
Kind regards,
Mrs. Watts
Tuesday 14th October 2025
This week, we are rounding 3 digit numbers to the nearest multiple of 10. Children need to be able to understand that for example, 364 lies between 360 and 370. There are 4 in the ones column, so 364 would round down to 360.
Example:
126 is between 120 and 130
126 is closest to 130
126 rounds up to 130.
They are using the rounding rule of: 0-4 hit the floor (rounds down to the lower multiple).
5 - 9 climb the vine (round up to the higher multiple).
When rounding to the nearest multiple of 10, we look at the digit in the ones column.
Our focus Times Table is the 8s.
In Science, we are continuing to learn about teeth. We have set up an investigation to explore the effects of sugars on our teeth. We will observe what happens over the next few weeks.
In case your child is not currently registered with a dentist, I wanted to also let you know that the dentist on Nayland Road does currently have NHS spaces for children.
Please remember to sign up online for a slot at one of next week’s Parents' Evenings. Your appointment will either be with me or Mrs. Foster.
Kind regards
Mrs. Watts
Wednesday 8th October 2025
In Maths, we have been ordering and comparing numbers. We then worked together to place these on number lines.
See example:

We have also been learning about the different teeth that humans have and the importance of regular brushing. On Thursday, we will be brushing our teeth and using a disclosing tablet to enable us to see where we may need to focus our brushing. Please remember to give permission online and to send your child in with their toothbrush and toothpaste.
Our focus times table for the following two weeks will be the 8 x table. Please encourage your child to practise the tables daily and to log onto TT Rockstars at least twice a week.
Thank you for your support.
Mrs. Watts
Wednesday 1st October 2025
This week, your child has completed their POP task in Science. This was their opportunity to show how much they had remembered about our topic on nutrition and the digestive system. I was very impressed by how much most children were able to recall and explain. In Maths, we have been counting in 50s and 25s and using this to solve simple problems. If your child has found this tricky, they will come home on Friday with an example of what we were doing so that you can practise with them. We will continue to work on the 7 x table next week.
You should have received an email regarding an activity that we will be doing next Thursday. In Science, we will be learning about teeth and the importance of brushing regularly and thoroughly. This activity is a great way for children to look carefully at their own brushing. Please remember to give your permission online and to send them in with their toothbrush and toothpaste on Thursday next week. Thank you.
Have a lovely weekend.
Mrs. Watts
Wednesday 24th September 2025
This week, we have been working on counting in 100s and understanding that 10 lots of 10 are equivalent to 100. We have also used place value counters to help us to exchange when adding or subtracting 100s (when this bridges 1000) Example: 2,035 – 100.
In Geography, we have been locating some of the well-known volcanoes around the world, as well as the ring of fire. In Science, we have continued our work on the digestive system.
Our focus Times Table for the next two weeks will be the 7 x table.
Please ensure that your child has a top with long sleeves for P.E. as it is getting a little chilly now.
Have a lovely weekend.
Mrs. Watts
Wednesday 17th September 2025
We have continued to work on place value of 3 and 4 digit numbers. Children have been comparing and ordering numbers and understand that we look at the thousands first, if they are the same, we look at the hundreds and so on. I have included some examples below so that you can help your child if they need a bit more support. On Friday, I will send home examples for any children who have needed some support in class. In Geography, we have been learning about how volcanic eruptions occur and the parts of a volcano. In Science, we are learning about parts of the digestive system and the journey of food through these.
Our focus times table is the 4 TIMES TABLE. Please encourage your child to log on to TTRockstars at least twice a week. Thank you for your support.
Have a lovely weekend.
Mrs. Watts
EXAMPLES:


Friday 12th September 2025
In Maths, we have been working on place value. The children need to be able to identify the value of each digit in 3 and 4 digit numbers. Some children have found this challenging and have needed support. I have included examples below so that you can help them with this at home. Next week, our focus x table will be the 4 Times Table. In Science, we are looking at what makes a balanced diet. Thank you for helping your child to complete their food diary.
Thank you for your support.
Mrs. Watts

Autumn Term 2025 Knowledge Organiser Click here to see the document. .
Wednesday 16th July 2025
It is hard to believe that we have almost reached the end of the school year and what a busy year it has been. When giving out the topic books, the children and I were amazed at how much work they have completed across the year. They are bringing all of their English, Maths and Topic Books home with them today.
Thank you to those of you that were able to come to our Exhibition Evening last Thursday. It was lovely to see so many of you and for the children to be able to share their learning.
This is my final note for the year, as I finish for the year tomorrow. I hope you all have a wonderful summer and I look forward to seeing the children when they return in September.
Mrs. Watts
Wednesday 9th July 2025
As you are aware, this week has been 'Class Swap Week' so I have actually not taught your children at all. They all seem to be enjoying the time with their new teacher and are settling in well. Some children can find this more challenging and unsettling and this can be worrying for you as a parent. Please speak to me if you have any concerns at all.
This Thursday evening, you are invited to come into school at any point between 5pm and 8pm for our 'Exhibition Evening'. This is an opportunity for your child to show you their work from across the year. It is not a 'Parents' Evening', but I will be around should you wish to speak with me. I look forward to seeing you and hope that lots of you are able to join us.
Thank you,
Mrs. Watts
In Maths, we have been working on co-ordinates and translating shapes. If your child has struggled with this, you will receive a note on Friday. Please could you check for this, even if they have not handed in their diary. We have also focused on the 4x table this week. In English, we are adapting our model text, which is a balanced argument. The children are writing one based on whether they should have to wear a school uniform or not.
Just a reminder that our trip to Norwich Castle Museum is next Tuesday. The children MUST be in school by 7.45 a.m. as we will be leaving promptly at 8.00 a.m.
Thank you,
Mrs. Watts
Thursday 19th June 2025
This week, the children have continued to work on digital time in Maths. They need to be able to convert digital time to analogue time. E.g. 08:37 – they need to understand that this is 23 minutes to 9:00 in the morning and that 20:37 is 23 minutes to 9:00 in the evening. Please continue to support them with this at home. They have also been working or drawing and interpreting line graphs. We are currently revisiting a range of times tables, so please encourage your child to continue to work on all times tables at home.
Have a lovely weekend and enjoy the promised hot weather.
Mrs. Watts
Wednesday 11th June 2025
In Maths, we have continued to work on telling the time. The children worked on telling the time to the nearest minute to and past the hour. This can be tricky, but the children are picking this up very well. If your child has struggled with a particular aspect, they will bring home a note or there will be a note in their diary if it is in school. We are now mixing the times tables and have been revisiting the 7, 8 and 9 x tables. In Science, we explored lots of different plants and looked at how they disperse their seeds.
Have a lovely weekend when it comes.
Mrs. Watts
Wednesday 4th June 2025
Firstly, I would like to apologise for the lack of recent updates to this page. There has been a minor technical issue which is now, hopefully, resolved!
It has been an incredibly busy week in Oak Class so far! In Maths, we have been learning to tell the time, using an analogue clock. We have revisited o’clock, quarter past and quarter to the hour. Tomorrow, we will be working on telling the time to 5 minute intervals past the hour. Please continue to work on this at home as it can be tricky for the children to pick up. In Design Technology, we have explored simple pneumatics and how these can be used to make something move. The children have designed some ‘moving monsters’ which incorporate a simple pneumatic system and will be making this tomorrow. If your child is in Year 4, they will take the Multiplication Check either this week or early next week. This is nothing for them to be concerned about and will be done with Mrs. Carter, who they are very familiar with.
Have a lovely weekend when it comes.
Mrs. Watts
Wednesday 23rd April 2025
I hope you all had a lovely Easter break and managed to get out and enjoy the fabulous weather.
It has been a busy first week back to school. In Maths, we have been working on money. Children need to be able to recognise all coins and notes used in our currency, add them together and compare their values. They have also worked on adding 2 or more amounts of money together. I have been pleased with how well they have been able to do this. In English, we have begun our story writing unit with a focus on dialogue. Our focus times table for this week and next week is the 7 x table. Please continue to encourage your child to practise the times tables.
Many thanks,
Mrs. Watts
Wednesday 26th March 2025
This week, we have been working on tenths and hundredths. The children have used models such as the example above. 
We have also been practising hard for our upcoming production of Star Warts. If they have not already done so, please make sure that your child brings in their costume in school by Monday morning at the latest. We will be doing a dress rehearsal to the school and need everything to be in place.
Our focus times table is still the 12 x table.
Many thanks
Mrs. Watts
Wednesday 19th March 2025
This week, the children have completed various assessments which have included Reading and Maths. If you want to know how your child did in these, please come in and see me at either of the ‘At Home’ sessions on Wednesdays before the end of term.
As well as this, we have worked on rehearsals for our upcoming performances of ‘Star Warts’. If your child has a named role, you will have received a note asking for a specific outfit. Please could you ensure that these are brought into school by Thursday 27th March. Please make sure that it is in a NAMED bag. For those children who do not have a specific part, we are asking that they wear clothing in red or black or a combination of the two. They are welcome to wear anything which looks slightly ‘alien-like’ too and this includes headwear.
Our times table focus for the next 2 weeks is the 12 x table.
Many thanks,
Mrs. Watts
Wednesday 12th March 2025
It has been another busy week in Oak Class. In Maths, we have been learning to calculate equivalent fractions. I have included an example below so you can practise at home with your child if you wish. In History, the children have completed their POP Tasks and have tried really hard to recall key dates and facts. Our focus times table is the 6 x table again and this will be followed by the 12 x table.
Mrs. Watts
EXAMPLE OF FRACTION WORK
To find 2/3 of 33, we first need to calculate 1/3
1/3 of 33 =
33 ÷ 3 = 11
So
There are 3 11s in 33.
So 1/3 of 33 = 11
2/3 is 1/3 + 1/3
1/3 + 1/3 is 11 + 11
11 + 11 = 22
So 2/3 of 33 = 22
Wednesday 5th March 2025
In Maths, we have been converting mixed number fractions to improper fractions. We have found this very difficult to understand, and some children have needed additional support. I have given an example on this page so that you can see how to support your child with this. Thank you.
In History, we have learned about the Saxon and Norman invasions and discussed buildings in Colchester from these time periods.
Have a lovely weekend
Mrs. Watts

Wednesday 12th February 2025
This half-term is nearly over and what a busy few weeks it has been. Rehearsals for our production of 'Star Warts' are well under way and the children are doing brilliantly with learning the songs. Please could you continue to encourage your child to practise their lines from the script. This is particularly important for those children who have a lot of lines to learn. Thank you.
After the break, we will be working on the 3 and 6 x tables so please continue to practise these at home. Thank you to those of you who came to Parents' Evening last night. It is lovely to be able to discuss your child's learning with you. I look forward to seeing the rest of you on Thursday.
Enjoy the Half Term break
Kind regards,
Mrs. Watts
13th January 2025
Hi, all
Please see below our Knowledge Organiser and KIRFS for the Spring Term.
Please click here for the Knowledge Organiser.
Our current times table focus is the 7 x table. Please encourage and support your child to practise this and to ensure that some of this is done on Times Table Rockstars. Our 'At Home' evening' is a Wednesday until 4 p.m. Please be aware that only Mrs. Watts is available as Mrs. Foster only works on a Friday.
If your child has a speaking role in our upcoming production of 'Star Warts', they will have brought home a script. Please ensure that these are brought into school every Monday and Tuesday as these are the days that we are currently using for rehearsals. Please encourage them to work on this at home.
Many thanks.
Thursday 11th July 2024
This week has been a very different week for the children. They have spent the majority of it with their new teacher and classmates, but all have come back happy and excited. I look forward to seeing you all this evening at our 'Exhibition Evening'. This will run from 5pm to 8pm so I hope you are able to come along and share your child's learning.
Mrs. Watts
Thursday 4th July 2024
In Maths, the children have been learning about coordinates and translating shapes. We are now revisiting all of the times tables so that the children can consolidate their understanding. In English, the children wrote their final 'Hot Task'. This was an explanation text which was linked to our current class text, The Longest Night of Charlie Noon. These were really well-written and I was incredibly impressed.
Have a lovely weekend,
Mrs. Watts and Mr. Rands
Thursday 27th June 2024
It has been another busy (and very hot) week in Oak Class. The children have been exploring a range of charts and graphs in Maths. In English, they have been planning their own explanation text linked to their prior knowledge of a previous text, Krindlekrax. The children have also been learning about Anglo Saxon gods and created a 'Top Trumps' style game to support their understanding.
Have a lovely weekend in the sunshine!
Mrs. Watts and Mr. Rands
Thursday 20th June 2024
It has been another busy week in Oak Class. We have looked at the water cycle and made mini water worlds to enable us to observe this in action. In History, we have learned about the Anglo Saxon burial ground at Sutton Hoo and have discussed many of the artefacts found there and what this tells us about Anglo Saxon life. We have finished our work on analogue time, but the children would benefit from further practice with this at home. We are now looking at digital time. Just a reminder that the Summer Fair is this Saturday. Have a lovely weekend.
Mrs. Watts and Mr. Rands
Thursday 13th June 2024
It has been a very busy week in Oak Class. The children have been completing their Summer Term assessments and have all worked incredibly hard. It was lovely to see how much progress they have all made and how proud they were of their achievements. If you would like to know how your child got on, please feel free to come and see me on a Wednesday. The Year 4 children all completed their Times Table Check last week and did absolutely brilliantly. Thank you for all your hard work in supporting your children in learning their tables across the year. It was lovely to hear the children saying how much easier they found the assessments now that they are more accurate in recalling times table facts.
Thank you.
Mrs. Watts and Mr. Rands
Thursday 6th June 2024
This week, we have been learning to tell the time. The children have looked at o’clock, half past, quarter past and quarter to. We then moved on to 5 minute intervals past the hour. The children need to be able to tell the time to 1 minute intervals using an analogue clock. Please could you work on this at home too.
Thank you for your support with this.
In reading, we have begun to work on our new text, The Longest Night of Charlie Noon. The children used drama to help them to understand new vocabulary and had great fun creating freeze frames. I have included some for you to take a look at.
Mrs. Watts and Mr. Rands
Thursday 23rd May 2024
It has been a very busy end to this half term. This week, we have spent a lot of time on our Design & Technology project. The children have designed and made board games linked to our text, 'Shackleton's Journey'. They first explored everyday items which operate by having a simple circuit as part of their components. The children are now incorporating a circuit into their game so that the player can recognise whether they have answered correctly or not.
As you know, next week is Half Term. Please encourage your children to read daily and to practise their times tables, particularly if they are in Year 4. Thank you for your support with this.
We hope you and your children have an enjoyable break.
Mrs. Watts and Mr. Rands
Wednesday 15th May 2024
All of the children's portraits are now on display and look amazing. Please come along and look if you can. I have included some photographs below too. This week, the children have completed their P.O.P. tasks based on our current unit of Geography. They have worked hard to recall the information they have learned.
In Maths, we have been measuring and calculating perimeter. The children are picking this up really well.
Please continue to support your child, particularly if they are in Year 4, to practise their times tables daily. This needs to include using Times Table Rockstars so that they get sufficient practice with typing in their answers.
Thank you,
Mrs.Watts and Mr. Rands
Wednesday 8th May 2024
Mr. Rands has done a fabulous job of mounting the children's work and creating a beautiful corridor display. Please come and take a look during our 'At Home' evenings if you can. I have included photos below for those of you who cannot make it into school. If your child's work is not yet displayed, it will go up in the classroom over the next week.
Please continue to support your child in practising their times tables. Some of the children are not doing this regularly and it impacts their ability to recall facts quickly and accurately. If your child is in Year 4, you will have received a letter about the Multiplication check. It is really important that these children type their answers in on Rockstars, rather than simply reciting them as this is how the check will be administered.
Thank you for your support.
Mrs. Watts
Thursday 2nd May 2024
It has been another busy week in Oak Class. We have now finished our portraits using impasto paint. They look amazing! Mr. Rands is working hard to prepare them in our new corridor display, but they should be up ready for you to see next Wednesday at our At Home evening. I am sorry that you have been unable to come in for the last two weeks. This is because the Staff Meeting had to be moved, but everything is back to normal for next week. We have also been continuing our Science work on light and shadows. The children have explored materials which are transparent, translucent and opaque.
Have a lovely weekend.
Mrs. Watts and Mr. Rands
Thursday 25th April 2024
We have been exploring the painting technique of pointillism. We created a collaborative piece of large-scale art, taking inspiration from our text 'Shackleton's Journey'. This will form part of our corridor display. I will let you know once this is complete and ready for viewing.
In Maths, we have been working on comparing and adding amounts of money. The children have all done very well with this. With the Times Table Check coming up (details to follow soon), we ask that you encourage your Year 4 children to practise on Times Table Rockstars daily. This is important as the Check is completed on a computer and they need to be able to type in the answers within 6 seconds. Thank you.
Mrs. Watts and Mr. Rands
Thursday 18th April 2024
It has been a busy week back after Easter. We have begun to read our new class text, Shackleton's Journey which is about his expedition to Antarctica. The class are thoroughly enjoying this so far. We have also begun our new Science unit on light and how shadows are formed. Our times table focus is currently the 9 x table and will be the same for next week. I have attached our Knowledge Organiser below so you can see the areas we are looking at across the term.
Have a lovely weekend.
Mrs Watts and Mr Rands
Thursday 28th March 2024
What a fantastic end to the Spring Term! The children were amazing in our production of 'What's the Crime, Mr. Wolf?' and Mr. Rands and I were incredibly proud of them all. Thank you to everyone who came to watch them perform.
We have also now finished our clay tiles which are based around the crocodile or dragon-like creature from our text, Krindlekrax. I have included some photographs below so that you can see them all.
Whilst the children are now ready for a well-earned rest, please continue to encourage them to read daily, both to themselves and aloud to you and to continue to practise their times tables.
Have a lovely Easter break.
Mrs. Watts and Mr. Rands
Thursday 21st March 2024
In Geography, we have been learning about the impact of tourism on Clacton. We looked at videos and took a virtual tour of Clacton Pier. We also took a walk along the seafront, using Google Earth. We read case studies about some local people who work in Clacton and explored the positive and negative effects of tourism on their lives.
Today, we have sent home a letter regarding final arrangements for next week's evening productions. We look for ward to seeing you then.
Have a lovely weekend.
Mrs. Watts and Mr Rands.
Thursday 14th March 2024
We will be having a dress rehearsal next Friday so we are now asking for all costumes to be in school by next Wednesday (20th March). If your child has a named part in our play, you will have already received a note informing you of what they need. If your child does not have a named part (Year 3 children), they will all be animals. They can be any animal they like, so will only need to wear a colour which is appropriate for the animal they choose. They could wear fleecy hoodies, their onesie or simply wear a coloured top and trousers/skirt. If you are uncertain, please speak to us on the playground and we can help.
We are all very excited to show you our production on Tuesday 26th and Wednesday 27th March. You have already been sent a tickets letter for this. Thank you for your support with this.
In Maths this week, we have been calculating fractions of an amount. The children have worked hard to understand this and have picked it up well. In Geography, we have been learning about Harwich and Felixstowe and finding similarities and differences. The children have shown a genuine interest in this.
Have a lovely weekend.
Thursday 7th March 2024
This week, we have been working on converting improper fractions to mixed number and vice versa. This is a tricky concept so I have given the children an example to take home so that you can go over it with them if they feel like they have struggled.
We have also continued our Geography work on the U.K and have been looking at counties which border Essex and some towns or cities within them.
Have a lovely weekend.
Mrs. Watts and Mr Rands
Thursday 15th February 2024
In Maths, we have looked at fractions, identifying unit and non-unit fractions and placing them on a number line. We have started our Newspaper unit in English and have completed some fact-filled POP Tasks for History.
Well done Oak, have a restful half-term.
Mrs. Watts and Mr Rands.
Thursday 1st February 2024
In Maths, we have been working on division. The children have been taught to divide 2 digit numbers by a 1 digit number using partitioning. I have attached an example below so that you can support them with this at home.
We also carried out a simple investigation into soundproofing and the children have been learning to draw conclusions based on their results. Our focus times tables for the next two weeks will be revising the 3 and 6 x tables. Please continue to support them with these at home.
Thank you
Mrs. Watts and Mr Rands
26.01.24
This week, we have continued to work on multiplication. All of the children can now multiply a 3 digit number by a 1 digit number, using the expanded method. Some children still need the support of a x table square to support their accuracy so please continue to encourage them to work on this at home.
We have been printing this week. The children drew the Iron Man onto safe-print tiles and pressed out their designs. The prints look great. I will let you know once they are mounted and displayed.
Next week, we will continue to work on the 6 x table.
Have a lovely weekend once it arrives.
Mrs. Watts and Mr Rands
Thursday 18th January 2024
This week, the children have been learning to multiply 2 digit numbers by a 1 digit number using the expanded and compact methods. They are picking this up really well. Next week, we will continue this using 3 digit numbers. Our focus x table will be the 6 x table so please encourage your children to practise this.
Our wall display is now complete. I have put the photographs of this below so you can see how amazing the children's D.T. work is.
Mrs. Watts and Mr Rands
Thursday 11th January 2024
It has been a very busy time in Oak Class. This week, we have completed our D.T. project which we linked to our current text, The Iron Man. The children have been learning how to make levers and linkages and have used these mechanisms to make moving ‘Iron Men’. These look amazing and will form our wall display for the corridor. We will let you know once this is ready.
We have begun our new unit in English which is creating fear and suspense. The children are picking this up well.
Our focus x table is the 3 x table, but please encourage your child to continue practising those we have already covered.
Thank you
Mrs. Watts and Mr Rands
18th December 2023
Hi
I couldn't resist sharing our finished Christmas decorations with you. The children have done brilliantly and their finished pieces look amazing! I have taken photographs so that you can see what they have all done.
Happy Christmas
14.12.23
What a busy week! Thank you to those of you who came to see our Christmas Carol concert. The children have worked so hard on their lines and songs and it was lovely to be able to share this with you. I hope you enjoyed the little bit of audience participation!. This week, we have been learning to sew and are busy making fabric Christmas decorations. The children are doing so well with these and they are looking great.
Whilst the children are ready for a well-earned break, we would ask you to continue to read with and to your child and to spend a little spare time going over the times tables as it really helps to keep these things on the boil.
As this will be my last note this term, Mr Rands and I wish you all a happy Christmas and we look forward to seeing you in January.
Mrs. Watts
Thursday 7th December 2023
It has been an incredibly busy week in Oak Class. Alongside all of the usual lessons, the children have completed some assessments in Reading and Maths. They have all worked incredibly hard to recall their learning and show us what they know. Please feel free to come and see me on a Wednesday 'At Home Evening' if you would like to know how your child has done in these.
We have continued to rehearse for next week's Christmas performances and the children are excited about showing you all what they have been doing.
Please continue to support your child and encourage them to practise their X Tables at home. There are a number of children who are still not accessing Times Tables Rockstars and we would like to see all children logging on at least twice a week. Their login details are in their Home- School Diary. We are revising the 2, 4 and 8 x tables next week. Thank you for your support with this.
Have a lovely weekend (when it comes),
Mrs. Watts and Mr Rands.
Thursday 30th November 2023
This week, we have begun to learn how to write a diary entry and understand the features which can be used. The children are picking up the features well. We have also revisited rounding and used this to make estimates for calculations. Some children found this challenging and we had to spend some time going over the rounding rules. Please go over this with your child if they say that this was difficult for them. Thank you for your support.
Next week, our times table focus will be recapping the 4 and 8 x tables. Please encourage your child to work on these.
This afternoon, we are having our Shared Learning session. We hope to see as many of you as possible and hope you gain an insight into the strategies used in school.
Mrs. Watts and Mr. Rands
Thursday 23rd November 2023
The children have been working on column subtraction with at least one exchange. They have also written their final story based around the character of Isabelle from The Invention of Hugo Cabret. We were was really impressed with how hard they all worked to include the features we have been learning. Next week, our times table focus will be revisiting the 4 and 8 x tables. Please continue to support and encourage your children to practise these at home. Thank you.
The children have also been practising for our Shared Learning session which takes place next Thursday afternoon. Thank you for returning your slips and we look forward to sharing our x table knowledge and strategies with you.
We hope you all have a lovely weekend .
Mrs. Watts and Mr Rands
16th November 2023
This week, we have been working on addition of 3 and 4 digit numbers using the column method. This has included those which require an exchange. We have also been revisiting the 2 and 4 x tables and will continue with these tables next week.
You will receive a letter this week which invites you to our 'Shared Learning' session on the 30th November. The focus will be x tables and you will have the opportunity to practise these in a variety of ways whilst being taught by your children.
Have a lovely weekend.
Mrs. Watts and Mr Rands
9th November 2023
This week, we have been exploring our new text, The Invention of Hugo, in more depth. We have looked at how the author creates images in the reader's mind and how characters show their emotions by what they say and do. Last Friday, we explored the beautiful illustrations in the text and looked at how eyes are used in many of them to convey emotion. The children created lots of interesting compositions and used cameras to capture these. They look amazing! I have included a few below to give you an idea of what we did.
Next week, we will be recapping the 2 and 4 x tables. Please encourage your children to continue to work on these. Thank you for your support.
Mrs. Watts and Mr. Rands
2nd November 2023
This week, we have begun to work on creating characters in stories. This will be our English focus over the next 4 weeks. In Maths, we have been adding and subtracting ones and multiples of 10 from 3 digit numbers. This has included those which require an exchange (e.g. 235 + 8 or 256 - 7). We have done this by drawing place value counters rather than the formal written methods.
We are currently working on the 8 x table. Please encourage your child to practise these daily for around 10 minutes and to use Times Table Rockstars at least twice a week. Many of the children are not currently logging on at all and it would be beneficial for them to do so. Thank you for your support with this.
Mrs Watts and Mr Rands
Thursday 19th October 2023
We have reached the end of this Half Term and what a busy few weeks it has been. As you will see at this week's Parents' Evenings, the children have been working incredibly hard and have produced some super pieces of work. This week, we have finished our Geography unit on 'Earthquakes and Volcanoes'. On Monday, we explored how the tremors travel through solids and how the impact is reduced the further away you are. We also looked at different materials, such as rubber and how these absorb some of the impact of earthquakes. The children then completed their P.O.P. Tasks. These are opportunities for the children to demonstrate their recall and understanding of key 'Sticky knowledge'. I was so impressed with these and the children should feel very proud of themselves.
I hope you all enjoy the Half Term break.
Mrs. Watts
Thursday 5th October 2023
This week, we have begun to look at persuasive writing and the features used. In Maths, we have been placing 3 and 4 digit numbers between multiples of 100 and 1000 and have begun to work on rounding. Next week, we are working on the 7 x Table. Please can you support your children and help them to practise this. Thank you
Our corridor displays are now complete and look fantastic! Mr. Rands has done an amazing job. I have put some photos on this page for you to look at.
Mrs. Watts and Mr. Rands
Thursday 28th September 2023
We have had a very busy week. In Science, we have been learning about the digestive system and the organs involved. I have included some photographs of our activity so please ask your child to try and explain the process involved. We will be doing some further work on this next week. We are still working on the 4 x table and we would appreciate your support in helping your child to learn these at home
In Maths, we have been counting forward and backwards through zero and exploring negative numbers.
Thank you to those parents who came in for our first 'At Home' evening this week, it was lovely to see so many of you.
Mrs. Watts and Mr Rands
Thursday 21st September 2023
We have had another very busy week in Oak Class. The children have continued to focus on place value and have been finding 10 or 100 more or less than any given 4 digit number. This includes numbers where an exchange is needed. E.g. 2,056 - 100. In English, we are still working on using a variety of methods to create descriptive settings and the children are working very hard on this. Next week, we will focus on learning our 4 x table so please encourage your child to practise this at home.
Thank you
Mrs. Watts
Friday 8th September 2023
Welcome to the class page for Oak Class.
It has been a very busy few days. The children have settled in beautifully and are already working incredibly hard. In Maths, we have begun to work on place value and the children are learning the value of each digit in 3 and 4 digit numbers and how to partition in different ways. We have also begun to create and describe settings and I was impressed with their ideas in our list poems.
Please be aware that P.E. for our class is on Tuesdays and Fridays.
Have a lovely weekend and enjoy the sunshine.
Mrs. Watts and Mr. Rands